目录
葡萄糖氧化
<markdown>
**恢复葡萄糖氧化的终极指南**
为什么碳水化合物不是问题所在,如何重新训练你的代谢来干净地燃烧碳水,以及我每天摄入 700 克碳水并保持完美血糖的确切方案。
汉斯 2025年10月12日
如果能改善葡萄糖氧化,每天可以摄入 200-700 克碳水化合物,从而变得更平静、更苗条、更强壮,睡眠质量更好,T3、DHEA-S、IGF-1 水平更高,皮质醇水平更低,而且不会出现低碳水饮食后的崩溃。
- 问题不是碳水化合物不足,而是氧化代谢异常。丙酮酸脱氢酶(PDH)被阻断,脂肪酸氧化(FAO)占主导地位,氧化还原平衡被破坏。
- 低碳水饮食“有效”……是因为提高了压力激素水平,却忽略了问题的根源。它只是权宜之计,而非根本疗法。当人们重新摄入碳水后,仍然会出现胰岛素抵抗,这表明他们从未真正解决问题。
- 在这种紊乱的代谢系统上再添加碳水,就会导致腹胀、疲劳、血糖飙升,然后会责怪碳水而不是你的代谢。
过去十年,我尝试过各种碳水摄入方式,从高碳水(300-400克/天)到极低碳水(0-10克/天),以及介于两者之间的各种方案。目前,我正在进行*“每天吃20根香蕉”的实验,* 每天摄入700克碳水化合物,血糖控制得非常好。
我的空腹血糖在 70-80 mg/dL 之间,即使摄入大量碳水化合物后,也很少超过 120-140 mg/dL,通常低于 100 mg/dL。 我的空腹胰岛素和 C 肽水平处于正常范围的低端,这表明我的胰岛素敏感性很高,无需每天走 3 万步、每餐前进行高强度间歇训练或服用二甲双胍。
我上次的糖化血红蛋白(HbA1c)是4.9。
碳水本身并不坏,坏的是氧化不良。
本文中获得以下内容:
- 一步一步的修复指南:如何通过食物、辅因子、组合和时间安排来修复氧化。
- 14 天氧化重置:精确的剂量范围、用餐时间、决策树和故障排除。
- 即用型模板:血糖检测表、堆叠计算器、购物指南和体检清单。
接下来将分析为什么人们认为碳水是问题所在,葡萄糖氧化不良如何破坏激素,以及如何重建你的代谢,使碳水再次为你服务。
>
**为什么这很重要**
葡萄糖充分氧化后,会生成:
- 甲状腺激素(T3)分泌增加→代谢加快,精力更充沛,情绪更好。
- DHEA-S 和游离睾酮水平升高 → 动力、专注力、自信心和性欲增强。
- IGF-1水平升高→恢复更快,肌肉生长更佳,皮肤和头发更好。
- 降低皮质醇和肾上腺素水平→更平静的头脑,更好的睡眠,更深层次的恢复。
简而言之: 适当的葡萄糖氧化能使你从压力下的生存模式转变为合成代谢、高效能模式。
本指南的重点不在于如何摄入更多碳水化合物,而在于如何干净地燃烧它们。
**基础知识:摄入碳水化合物后会发生什么**
大多数人认为“碳水化合物=糖=胰岛素飙升”,但实际上,体内发生的能量输送是一个精妙协调的系统。以下是其逐步运作的方式:
**1. 消化与吸收**
- 葡萄糖和果糖在小肠中由淀粉和糖类(水果、牛奶等)分解而来。
- 通过专门的运输蛋白被吸收:
- SGLT1和GLUT2将葡萄糖(和半乳糖)转运穿过肠道内壁。
- GLUT5转运果糖。
- 果糖吸收较慢,有助于平稳血糖波动。
- 大部分摄入的果糖在到达肝脏之前,就已经在肠壁内转化为葡萄糖。
**2. 第一站——肝脏**
- 吸收的糖分通过门静脉直接流入肝脏。
- 肝脏起到葡萄糖缓冲剂的作用,决定储存多少葡萄糖和释放多少葡萄糖。
- 这里主要处理果糖;迅速转化为糖原或葡萄糖,使其成为补充肝糖原的最佳燃料。
- 葡萄糖部分以肝糖原的形式储存,受酶 GSK-3β(糖原合成酶激酶-3β;具有抑制作用)的调节。
- 当胰岛素从胰腺释放时,它会抑制 GSK-3β,激活糖原合成酶,使肝脏能够有效地储存葡萄糖。
- 有些糖尿病药物通过抑制 GSK-3β 来帮助降低血液循环中的葡萄糖水平并提高胰岛素敏感性。
**3. 进入血液和组织**
- 肝脏将葡萄糖释放到血液循环中。
- 胰岛素通过GLUT4转运蛋白指示肌肉、脂肪和其他组织吸收葡萄糖。葡萄糖也可以通过GLUT1转运蛋白被动吸收,无需胰岛素参与。
- 果糖可以通过 GLUT5 进入细胞,而无需胰岛素的参与,而且有趣的是,还能增强葡萄糖的吸收(胰岛素模拟效应);这也是为什么在吃淀粉之前吃水果可以降低餐后血糖反应的原因之一。
**4. 细胞内部——储存或燃烧**
- 葡萄糖进入体内后,主要有两种命运:
- 糖酵解会产生少量 ATP 和 NADH,但真正的能量是在之后产生的。
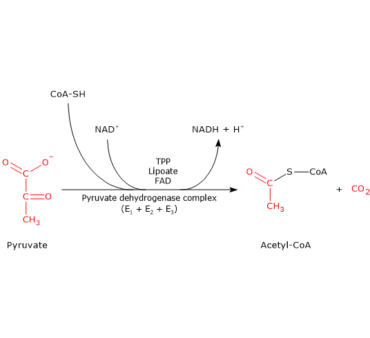
**5. 线粒体之门——丙酮酸脱氢酶(PDH)**
- 丙酮酸现在有两种形式:
- 或者,如果 PDH 受到抑制,它会被还原成乳酸,从而将 NADH 回收成 NAD。
- PDH 是葡萄糖氧化的关键“守门人”,决定碳水化合物是被燃烧还是发酵(转化为乳酸)。
- PDH活性受以下因素限制:
- NADH/NAD⁺ 比值过高(氧化还原失衡)
- 高ATP水平(能量充足)
当 PDH 功能迟缓时,乳酸会积聚,这表明葡萄糖正在进入细胞,但没有到达线粒体。
**6. 克雷布斯循环(三羧酸循环)**
- 在细胞线粒体内,乙酰辅酶A与草酰乙酸结合,开始克雷布斯循环。
- 每次转动都会剥离氢原子和电子,并将它们加载到 NAD⁺ → NADH 和 FAD → FADH₂ 上。
- 然后,这些高能载体将电子输送到电子传输链(ETC)中。
**7. 电子传输链(ETC)——能量工厂**
- NADH 和 FADH₂ 将电子传递给 CoQ10(泛醌),然后沿着复合物链向下传递(I → III → IV)。
- 这种流动驱动质子泵,从而在线粒体内膜两侧形成梯度。
- ATP 合成酶(复合物 V)利用这种浓度梯度来合成 ATP——细胞的通用能量货币。
- 当电子到达末端时,与氧气结合形成水,而二氧化碳在克雷布斯循环早期产生,两者共同标志着高效的氧化作用。
**8. 当一切运转正常时**
- 葡萄糖和果糖顺利地从食物→血液→细胞→线粒体→ATP。
- 二氧化碳浓度升高,氧气得到有效利用,乳酸水平保持较低水平。
- 结果如何?精力充沛、体温温暖、神经系统平静、合成代谢激素分泌旺盛。
**9. 当出错时**
- 葡萄糖或果糖在肠道中无法被正确吸收,导致发酵和类似小肠细菌过度生长(SIBO)的症状,如腹胀和胀气。
- 肝脏中糖原无法正常形成,导致血液中葡萄糖含量过高。
- 胰岛素分泌不足,导致血糖升高。
- 如果丙酮酸脱氢酶受到抑制或氧化还原平衡被打破:
- 丙酮酸堆积→乳酸升高(即使空腹血糖正常)
- 线粒体功能下降 → ATP 减少
- 压力激素升高以进行补偿 → 皮质醇升高,肾上腺素升高
- 身体感受到能量下降,便将责任归咎于碳水化合物,而真正的问题是氧化,而不是摄入。
**为什么有人认为碳水化合物是敌人**
让我们先来看看哪里出了问题。
大多数人无法有效地氧化葡萄糖,因为他们的丙酮酸脱氢酶(PDH)被抑制,代谢主要以脂肪酸氧化(FAO)为主。 这就是兰德尔循环的运作方式,脂肪和碳水化合物为了进入线粒体而进行的代谢拉锯战。
脂肪占上风,葡萄糖就输了。
- 血液中游离脂肪酸含量过高(压力、乏食不吃(甚至隔夜“不吃”)、低碳水饮食或炎症都会导致这种情况)。
- 这些游离脂肪酸会抑制葡萄糖进入细胞(导致高血糖)和丙酮酸脱氢酶(PDH),丙酮酸脱氢酶是让葡萄糖进入线粒体的酶。
- 结果:葡萄糖无法被吸收和氧化→以乳酸的形式积累→疲劳、脑雾、恢复不良。
身体感知到这种情况后会感到恐慌。 身体会分泌皮质醇、肾上腺素和胰高血糖素,调动更多的脂肪和糖分,从而形成一个应激循环:脂肪氧化阻碍葡萄糖的释放,导致葡萄糖在未被利用的情况下不断积累。
这就是为什么人们在低碳水饮食下会感觉“稳定”:身体停止了给受损的系统提供能量。 但身体是通过提高压力激素水平和降低代谢来实现这一点的,而不是通过解决根本问题。
**现实生活中是什么样子**
- 你感觉精力充沛,但又“兴奋过度”。
- 你睡眠质量差,凌晨3点醒来时感到燥热或焦虑(主要是由于低血糖;我代谢紊乱时经常发生这种情况)。
- 你会失去肌肉饱满度和充血感。
- 性欲下降,性激素结合球蛋白升高。
- 体检结果显示空腹血糖高、糖化血红蛋白高,但胰岛素“正常”。
- T3 下降,反向 T3 上升,皮质醇保持高水平。
那不是“脂肪适应”, 那是应激适应。
你的身体已经从依靠清洁的氧化能量(葡萄糖→CO₂ + ATP)运行,转变为依靠紧急模式(脂肪酸→不完全氧化+肾上腺素支持)运行。
低碳水饮食的作用机制与咖啡因类似:能刺激身体,但不能治愈疾病。
> 需要说明的是,燃烧脂肪本身并没有错。但因为葡萄糖氧化受损而避免摄入葡萄糖并非解决之道。
**为什么需要恢复葡萄糖氧化**
当葡萄糖氧化恢复后,一切都会改变。
**激素升级**
- T3 增加 → 葡萄糖促进 T4 转化为 T3,T3 是甲状腺的活性激素,它决定细胞代谢。
- DHEA-S 和睾酮水平升高 → 皮质醇水平下降,DHEA 流向雄激素而不是压力类固醇。
- IGF-1 增加 → 改善肌肉合成、恢复和青春激素水平。
- 性激素结合球蛋白(SHBG)水平降低→游离睾酮水平升高。
这一切都取决于葡萄糖能否真正到达线粒体并被彻底燃烧。
**代谢平静**
葡萄糖氧化充分 = 二氧化碳浓度高。 二氧化碳浓度高 = 氧气输送更顺畅(波尔效应)。 这意味着:头脑更平静、注意力更集中、焦虑感更低、睡眠更深。
当氧化水平较高时,神经系统最终会放松下来。你不需要咖啡因或肾上腺素就能正常运作。
**体能表现**
正确氧化碳水化合物时:
- 肌肉保持饱满强壮。
- 乳酸水平下降→更快恢复。
- 能量感觉平稳而强劲,而不是尖锐刺耳。
这就是为什么葡萄糖氧化能力强的运动员能够在高碳水饮食下进行高强度训练,而其他运动员尝试这样做却会崩溃的原因。
**为什么葡萄糖氧化会失败**
如果碳水不是问题所在……那么为什么很多人吃了碳水后感觉更糟呢?
因为代谢引擎堵塞了。 问题不在于葡萄糖,而在于燃烧葡萄糖的途径。
当葡萄糖进入细胞后,应该顺利地通过糖酵解→丙酮酸→丙酮酸脱氢酶(PDH)→线粒体→CO₂+ATP。 这是一个高效的氧化过程。碳水正是通过这种方式提高T3、DHEA-S、IGF-1的水平,促进高能量代谢。
但当氧化作用受阻时,能量流动就会停滞。葡萄糖积聚,转化为乳酸,胰岛素飙升,能量骤降,人们便将这一切归咎于碳水化合物。
真正阻碍这条道路的是什么呢?
**1. 脂肪酸氧化优势(兰德尔循环)**
当脂肪酸高速燃烧时,葡萄糖就无法进行氧化(这也很大程度上取决于总热量摄入)。 这被称为兰德尔循环,脂肪和碳水会竞争相同的线粒体机制。
- 压力、乏食或低碳水饮食导致体内游离脂肪酸 (FFA) 含量过高,会抑制 PDH,而 PDH 是一种允许丙酮酸进入线粒体的酶。
- PDH抑制意味着葡萄糖不能被氧化,只会被回收转化为乳酸。
- 过量的乳酸会导致疲劳、脑雾和碳水餐后反应性低血糖。
所以当人们摄入碳水而脂肪酸氧化占主导地位时,会经历“碳水崩溃”,这不是因为碳水本身,而是因为脂肪阻碍了碳水的氧化。
这就是为什么抑制脂肪酸氧化(使用吡咯烷酮、阿司匹林或米屈肼等化合物)可以立即让碳水再次感觉干净的原因。
**2. PDH抑制**
PDH(丙酮酸脱氢酶)是糖酵解和线粒体之间的守门人。
PDH 经常因压力或营养缺乏而关闭:
- 乙酰辅酶A过量、ATP高、NADH与NAD比值高、皮质醇、胰高血糖素和肾上腺素可增加PDK活性。
- 甲状腺功能抑制、维生素B1、镁、维生素B2、维生素B3、维生素B5水平过低或α-硫辛酸(ALA)缺乏都会加重病情。从这张图中可以看到所有必需的营养素,以及丙酮酸脱氢酶(PDH)是一个相当复杂的酶复合物。
这就是为什么高碳水饮食只有在 PDH 活跃的情况下才能起作用的原因。
**3. 还原性应激和低 NAD⁺**
即使丙酮酸脱氢酶(PDH)开放,如果细胞无法将NADH还原为NAD⁺,氧化作用仍然会失败。 这被称为氧化还原失衡,会导致代谢陷入一种假性缺氧、低能量状态。
低 NAD⁺ =
- 电子传递链(ETC)功能不良
- 高乳酸和活性氧
- ATP生成缓慢
- “疲惫但精力充沛”
烟酰胺、PQQ 和吡咯烷酮等化合物可以恢复 NAD⁺ 水平,并将氧化还原比推向氧化态。 这也是为什么慢性压力、缺氧或炎症会导致体内氧化水平持续偏低的原因,因为会消耗 NAD⁺ 并阻碍线粒体能量流动。
**4. 线粒体功能障碍(电子传递链瓶颈)**
即使线粒体内含有葡萄糖,氧化作用也取决于电子传递链的效率。
当复合物I或III活性减慢时,NADH会积累,电子泄漏,产生氧化应激而非能量。这会增加对超氧化物歧化酶、过氧化氢和谷胱甘肽过氧化物酶等抗氧化途径的需求,而锌、镁、铜、硒和锰则支持这些途径的活性。
这就是为什么补充氧化剂(维生素K2、亚甲蓝、辅酶Q10、琥珀酸、维生素C)可以显著提高ATP和CO₂的生成。 更多的CO₂意味着更好的氧合作用,从而使神经系统更平静,恢复更充分。
关键在于: 不能只是多吃碳水化合物。 需要一个畅通的电子流——从葡萄糖→丙酮酸脱氢酶→三羧酸循环→电子传递链→二氧化碳。
**5. 肠道和内毒素干扰**
最后,最容易被忽视的葡萄糖氧化抑制剂之一是肠道。 细菌过度生长或胆汁分泌不足产生的内毒素(LPS)会直接抑制丙酮酸脱氢酶(PDH)并激活脂肪酸氧化(FAO),再次陷入兰德尔陷阱。
这就是为什么人们会认为自己“碳水不耐受”。 其实并非如此,只是肠道代谢出现了障碍。
改善消化(改善胆汁流动、降低内毒素、减少发酵)可以使以前“不耐受”的碳水再次感觉良好。
**结论**
如果出现以下情况,就无法有效地燃烧碳水:
- 脂肪酸氧化占主导地位(脂肪酸氧化 > 葡萄糖氧化)
- 应激/营养缺乏会抑制或阻断丙酮酸脱氢酶(PDH)的活性。
- NAD⁺含量低,氧化还原电位降低
- 线粒体运转迟缓
- 肠道内毒素使你保持炎症状态
一旦这些问题得到解决,碳水就会再次发挥作用。
https://hansamato.substack.com/p/the-ultimate-guide-to-restoring-glucose
</markdown>
D:2025.11.28<markdown>
[增加葡萄糖氧化可能有助于治疗肥胖症,并且主要导致脂肪而非肌肉的减少。](https://haidut.me/?p=2931)
如果《超级减肥》比赛的参赛者们在用残酷的不吃、低碳水饮食和过度运动损害健康之前就知道这些信息就好了。可惜的是,这些可怜的人不仅在节目结束后即使减少热量摄入也反弹了所有减掉的体重,而且在比赛期间还损失了大量肌肉,之后又以脂肪的形式重新增重。这真是一场悲剧。正如主流医学界常见的做法,宣称“必须燃脂才能减肥”的说法缺乏证据支持。通常,真相与宣传的“健康”理念截然相反。
就下面这项研究而言,该研究发现,服用二氯乙酸(DCA)可以恢复丙酮酸脱氢酶(PDH)的活性,帮助原本肥胖的受试者减掉大量脂肪。正如我的读者所知,丙酮酸脱氢酶 (PDH) 是葡萄糖氧化的限速步骤,已知其活性不仅在肥胖症中下调,而且在糖尿病、心脏病,尤其是癌症中也会下调。说到癌症,药物二氯乙酸 (DCA) 最为人所知的是大约十年前在有限的人体癌症试验中出现的极具争议(实则令人不安)的结果。在这些试验中,DCA 被发现能够使一些晚期(甚至终末期)癌症患者的肿瘤完全消退。当然,这些令人鼓舞的结果最终不了了之,因为直接挑战了癌症是由基因突变而非代谢驱动的传统观念。此外,高剂量 DCA 具有毒性,这也有效地阻止了公众尝试将其用于治疗慢性疾病。
然而,人们无需冒险使用 DCA 也能获得相同的效果。PDH 的主要辅助因子是维生素 B1 和镁。此外,线粒体 NAD+/NADH 比值也会调节 PDH 的活性,比值越高,PDH 活性越高。因此,维生素B1、烟酰胺(NAD+前体)和镁的组合可能达到与该研究中DCA相同的效果,即使在高剂量下也几乎没有已知的风险。由于NAD+/NADH比值也已知受兰德尔循环调节,限制膳食脂肪(会降低NAD+/NADH比值)并增加碳水摄入也可能产生积极作用,并且与上述补剂具有协同作用。
<https://www.jpost.com/health-and-wellness/article-874860>
这项名为《靶向肥胖代谢紊乱:丙酮酸脱氢酶与体重减轻的相互作用》的研究,是 Indiresh A. Mangra-Bala硕士论文的一部分,重点关注一种名为二氯乙酸(DCA)的小分子。几十年来,科学家们已经知道DCA可以促使细胞 在其“能量工厂”——线粒体中更充分地燃烧糖分。这项研究提出的问题简单却雄心勃勃:如果在肥胖已经形成之后,强制身体改变对糖的利用方式,是否真的能够减少脂肪并改善健康?这项研究的核心是一个名为丙酮酸脱氢酶复合物(PDH)的酶系统。简单来说,PDH就像一个闸门,决定着糖进入细胞后的去向。当闸门打开时,糖 被送入线粒体燃烧供能。当闸门关闭时,大部分糖分会被分流到其他途径,最终转化为脂肪或乳酸进入血液。在肥胖症中,糖尿病患者的代谢闸门往往比正常情况下更频繁地处于“关闭”状态,因为一类称为丙酮酸脱氢酶激酶(PDHK)的酶就像PDH的刹车一样。
“…… DCA 的作用机制是阻断 PDHK,理论上可以解除部分抑制,使 PDH 通道保持开放状态。这项新研究探讨了将这一概念应用于肥胖动物的效果。研究人员首先给雄性和雌性小鼠喂食高脂饮食十周,直至它们肥胖。之后才开始用 DCA 治疗这些动物,以模拟患者在开始用药前就已经超重的真实情况。”
随后,研究人员对小鼠进行了为期四周的不同DCA给药方案的观察。其中一组小鼠在饮用水中添加了较高剂量的DCA。在这种治疗下,肥胖小鼠的体重显著下降,仔细测量发现,大部分体重减轻来自脂肪而非肌肉。当小鼠接受标准糖负荷试验时,它们的血糖峰值较低,且恢复正常的速度更快,这表明它们的葡萄糖耐受性更好。
标签:DCA、糖尿病、二氯乙酸、脂肪、葡萄糖、胰岛素、肥胖、PDH
</markdown>
D:2025.11.28
<markdown> </markdown>


